Loading...
Please wait, while we are loading the content...
Similar Documents
Factors Affecting Organizational Commitment and Its Impact on Core Employees ’ Intention-to-stay : an Empirical Investigation in the Textile Industry of Lahore , Pakistan
| Content Provider | Semantic Scholar |
|---|---|
| Author | Qadri, Usman Ahmad Hassan, Syed Salman Younas, Nighat |
| Copyright Year | 2019 |
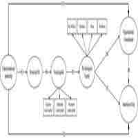
| Abstract | This study is to investigate the effects of key human resource practices such as company culture and policies, remuneration and rewards, and Leadership on organizational commitment and its impact on core employees' intention-to-stay in textile companies of Pakistan. We collected the data from 301 core employees in the different textile companies in Lahore, Pakistan. To test the hypotheses we used path analysis. Results have shown a significant positive effect of leadership and HR practices on organizational commitment and its impact on core employees’ intention-to-stay in the textile firms. This study will help the top-level management in the textile industry of Pakistan to find the effect of key HR and leadership practices on organizational commitment, and identify the effect of organizational commitment on core employees’ intention-to-stay in the textile firms. |
| File Format | PDF HTM / HTML |
| Alternate Webpage(s) | https://pbr.iobm.edu.pk/wp-content/uploads/2019/06/18-Article-996.pdf |
| Language | English |
| Access Restriction | Open |
| Content Type | Text |
| Resource Type | Article |